篮球新闻
杨瀚森全明星票数揭晓!获10.4万票排名第36 媒体和球员票均为零
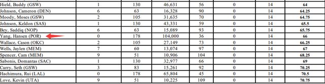
北京时间1月20日,北京时间1月20日,NBA官方公布了2026年全明星赛的首发阵容。西部首发是亚历山大、约基奇、东契奇、文班亚马和库里,东部首发是字母哥、坎宁安、布伦森、马克西和杰伦-布朗。随后,NBA官方公布了具体票数。东契奇得到3402967票,成为票王。杨瀚森得到104000票,在球迷投票部分,排名联盟第36位。


杨瀚森的媒体票和球员票均为零,2026年NBA全明星赛首发球员由球迷、现役NBA球员以及媒体评审团共同选出。球迷投票占首发人选评选权重的50%,球员与媒体投票各占25%。所有投票统计完毕后,球员将按照投票群体划分,在东西部两个联盟内分别进行排名。每位球员的最终得分,由其在球迷投票、球员投票和媒体投票中的加权排名取平均值计算得出。
球员得分的权重分配为球迷投票占50%、球员投票占25%、媒体投票占25%,具体计算公式为:(球迷排名×2+球员排名+媒体排名)÷4
杨瀚森的加权得分是66(分越低排名越高,比如约基奇是1.75),在他后一位是雷霆的卡森-华莱士,在他前一位是鹈鹕的萨迪克-贝。
杨瀚森今日已经被开拓者下放到发展联盟,将继续为混音出战比赛。过去两场发展联盟比赛,杨瀚森场均18分12篮板,分别创得分新高(22)和篮板新高(17)。
上一篇:老詹全明星得票西部第9!无缘连续22年首发 教练和萧华选他参赛?
下一篇:返回列表
相关资讯
-
杨瀚森全明星票数揭晓!获10.4万票排名第36 媒体和球员票均为零
-
老詹全明星得票西部第9!无缘连续22年首发 教练和萧华选他参赛?
-
全明星首发官宣后续:詹姆斯落选也绝对能参赛?预测14人替补阵容
-
如果NBA只剩下最后一个传统中锋
-
巴特勒右膝伤退引热议!两大医学专家初判相同:前交叉韧带损伤
-
杨瀚森G联赛19分!7天6赛疲惫感拉满!护框+力量蜕变,目标成大洛
-
新的时代,东契奇生涯首夺全明星票王,此前10年詹姆斯7次夺魁
-
NBA官宣总决赛赛程:6月4日开打最晚6月20日结束 为世界杯做调整
-
勇士官宣巴特勒赛季报销!本人将军照玩梗 不忘祝贺库里进全明星
-
尼克斯11战9败!布伦森紧急召开球员会议:力主队内寻找解决办法
-
火箭遭重创!亚当斯脚踝三级扭伤将无限期缺阵 可能会赛季报销
-
终结6连胜!哈登24+5+6快船狂输公牛28分 被轰25记三分